- Prof. em. Liudas ŠPOKAS, ASU
- Mano ūkis
Tarptautinės organizacijos FAO duomenimis, 2013 m. pasaulyje grūdiniai augalai užėmė 707,7 mln. ha plotą. Kviečiai auginti 218,46, kukurūzai - 184,19, o ryžiai - 164,72 mln. ha plote. Į sandėlius supilta 2 752 mln. t grūdų.
Didžiausią derliaus dalį sudarė kukurūzų - 1 016,76, ryžių - 745,71 ir kviečių - 713,18 mln. t grūdai. Vidutinis kukurūzų derlius siekė 5,52, o kviečių - 3,26 t ha-1. ES-27 šalyse kukurūzų plotai siekė 9,4, o kviečių - 24,5 mln. ha. Kukurūzų prikulta 70,88, o kviečių - 125,3 mln. t grūdų.
Kiekvienais metais pasaulyje didėja grūdinių augalų plotai ir derliai. Derliui nuimti reikia vis daugiau ir laidesnių javų kombainų. Prieš trejus metus Vakarų Europoje parduota 7 000, Šiaurės Amerikoje - 13 717, o Vokietijoje - 2 058 javų kombainai (Jahrbuch, 2013). Kompanija „Claas" nuo 1962 m. javų kombainų gamybą padidino 4,6 karto, tačiau javų kombainų galimybės nepakankamai išnaudojamos. Apskaičiuota, kad gamybinėmis sąlygomis kombainų New Holland gryno darbo laikas siekia 53, o Claas - 66 proc. (prof. U. Gross) bendro galimo dirbti laiko. Net 15 proc. laiko sugaištama tuštiems važiavimams. Lietuvoje, esant labai palankioms žieminių kviečių nuėmimo sąlygoms, kombaino Claas Lexion 770T gryno darbo laikas sudarė 86, o nuimant rapsus - 78 proc. viso buvimo lauke laiko. Nuimant drėgnokus, pagulusius javus, kombaino gryno darbo laikas siekė tik 57 procentus.
Dar ryškiau kombainų galimybes atspindi pasiekti pasaulio rekordai. 2008 m. kombainas New Holland CR 9090 su 9,1 m pločio pjaunamąja per 8 darbo valandas prikūlė 551,6 t kviečių grūdų ir pasiekė 68,95 t val.-1 našumą. 2011 m. pasaulio rekordą pagerino kombainas Claas Lexion 770T su 12 m pločio pjaunamąja. Nuimant 10,5 t ha-1 derlingumo žieminius kviečius per 8 valandas buvo prikulta 675,84 t, o per valandą - 84,48 t grūdų. 2014 m. rugpjūčio 15 d. Anglijoje kombainas New Holland CR 10.90 su pusiau vikšrine važiuokle ir 13,7 m pločio pjaunamąja per 8 valandas prikūlė 797,65 t žieminių kviečių Santjago veislės grūdų. Vidutinis grūdų drėgnumas siekė 16,2 proc., derlius - 9,95 t ha-1, kombaino valandinis našumas - 99,71 t. Esant palankioms pjūties sąlygoms ir didesniam kviečių derliui, naujausi kombainai su dar platesne pjaunamąja gali pagerinti dabartinį pasaulio rekordą.
Lietuvoje javų kombainų pasiūla yra perteklinė. Septynių gamintojų atstovai pristato per 50 skirtingų modifikacijų kombainus. Žemdirbiai dažnai klausia, koks kombainas mūsų sąlygomis yra universaliausias. Prieš perkant kombainą reikia įvertinti savo finansines galimybes, ūkio plėtros perspektyvą, pardavėjo techninės priežiūros veiklą ir ūkio kombainininko kvalifikaciją. Be to, svarbi ir kiekvienais metais rinkoje mažėjanti įsigyto kombaino vertė. Vienas iš svarbesnių rodiklių, nulemiantis kombaino pasirinkimą, pardavėjo techninės priežiūros paslaugų patikimumas. Nepriimtina, kai per darbymetį dėl rimtesnio gedimo tenka ilgai laukti serviso darbuotojų ar atsarginės dalies.
Kombainų laidumą labiausiai riboja šiaudų separatoriai. Mažo ir vidutinio laidumo kombainuose šiaudus separuoja klavišiniai kratikliai, laidžiuose - du ašiniai rotoriai ir labai laidžiuose - vienas ar du ašiniai kūlimo-separavimo būgnai. Dabar gamintojai didžiausią dėmesį skiria labai laidiems kombainams: vairavimo, technologinio proceso parametrų automatiniam valdymui, duomenų kaupimui ir perdavimui, racionaliam variklio degalų naudojimui. Tad kokios konstrukcijos kombainą reikėtų įsigyti?
Kombainai su ašiniais rotoriniais šiaudų separatoriais (hibridiniai)
Daugiamečiais tyrimais nustatėme, kad Lietuvos sąlygomis stambiems ūkiams labiausiai tinka hibridiniai kombainai. Pavyzdžiui, Claas Lexion 780-750. Nuo kitų metų Lietuvoje numatoma pardavinėti ir hibridinius Massey Ferguson Delta 9380 kombainus. Jų variklis 496 AG, šiaudus separuoja du 4,25 m ilgio ašiniai rotoriai. Šio kombaino darbą mūsų sąlygomis dar teks visapusiškai įvertinti.
Svarbiausi kombainų darbo vertinimo rodikliai yra šiaudų separavimo ir nuokulų valymo grūdų nuostoliai, grūdų sužalojimas ir degalų sąnaudos. L. Rudinsko ūkyje (Kauno r.) nepalankiomis sąlygomis nuimant salyklinius miežius NFC Tipple kombainu Claas Lexion 760T, šiaudų separavimo ir nuokulų valymo grūdų nuostoliai viršijo leistinąją 0,5 proc. ribą, tik kai kombainas važiavo 5,1 km val-1 greičiu ir į jį buvo tiekiama 15,8 kg s-1 miežių srautas. Sužalota buvo tik 0,76 proc. grūdų. Vidutiniškai kombainas per technologinę valandą nupjovė 4,6 ± 0,33 ha ir prikūlė 31,8 ± 2,16 t miežių grūdų. Šios grupės kombainų trūkumas - kombaino kompiuteris Cebis nerodo momentinių degalų sąnaudų, tik vidutines valandines.
Daugumos kombainų kompiuteriuose yra technologinio proceso parametrų automatinio valdymo sistema. Kombainininkui nurodžius nuimamų javų rūšį, įjungus pjaunamosios ir kuliamosios pavaras, sistema nustato racionalius technologinius parametrus. Kombainininkas gali patikslinti valdymo sistemos keičiamus technologinius parametrus. Labai laidžiuose Claas Lexion kombainuose įdiegta technologinio proceso parametrų automatino valdymo sistema Cemos Automatic. Pasirinkus javų nuėmimo strategiją, kombaino darbo metu automatinė valdymo sistema, įvertinusi tiekiamą javų srautą, variklio apkrovą, grūdų nuostolius, grąžinamą nuokulų kiekį pakartotiniam perkūlimui ir kitus rodiklius, kaitalioja ašinių rotorinių šiaudų separatorių, valytuvo ventiliatoriaus sukimosi dažnį, tarpus tarp abiejų sietų žvynų ir net kombaino važiavimo greitį. Artimiausiu metu automatinė valdymo sistema keis ir kūlimo aparato technologinius parametrus, nes nuo jo veiklos priklauso valytuvo ir šiaudų separatorių darbo kokybė.
Kombainų, kuriuose nėra technologinio proceso automatinio valdymo sistemos, darbo kokybę labiausiai lemia javų srauto tiekimo tolygumas. Todėl nereikėtų dažnai keisti kombaino važiavimo greičio, sukinėtis galulaukėse. Tiekiant į kombainą racionalų javų srautą, patartina nustatyti 14-15 mm tarpus tarp viršutiniojo ir 8-9 mm tarpus tarp apatiniojo sieto žvynų, o ventiliatorius sukti tokiu dažniu, kad į bunkerį birtų švarūs grūdai, bet jie su pelais nebūtų nupūsti nuo viršutiniojo sieto. Nepriklausomai nuo kombaino konstrukcijos, rankiniu būdu periodiškai reikia tikrinti grūdų nuostolius. Dabartiniai grūdų nuostolių kontrolės prietaisai rodo tik nuostolių kitimą. Tačiau jų rodmenis būtina palyginti su rankiniu būdu nustatytais duomenimis. Visų dabartinių kombainų trūkumas - kompiuteriai nerodo, kiek grūdų išbarstoma kg ha-1. Jie rodo tik barstomų grūdų kitimą.
Kombainai su klavišiniais kratikliais
Tai universaliausi kombainai, todėl jų parduodama daugiausiai. Lietuvoje kombainų gamintojų atstovai rekomenduoja įsigyti labai laidžius, laidžius ir mažo laidumo kombainus. Kombainai su klavišiniais kratikliais labiausiai reikalingi ūkiuose, kurie šiaudus parduoda arba sunaudoja gyvulininkystės fermose. Nustatyta, kad presams renkant hibridinių kombainų paliktas šiaudų pradalges, dirvoje lieka trečdalis, o kombainų su ašiniu kūlimo-separavimo būgnu - daugiau kaip pusė šiaudų. Šių kombainų rotoriai juos labiau sutrupina, palyginti su klavišiniais kratikliais.
Visų kombainų pjaunamųjų konstrukcija yra panaši. Gaminamos Vario pjaunamosios iki 10,5 m pločio. Austrijos kompanija BISO gamina plačiausią (16 m) Vario javų pjaunamąją. Jos masė sumažinta, panaudojus aliuminio gaminius. Nuimant rapsus, pjovimo aparatas pastumiamas pirmyn 0,8 m. Tada pjaunamosios dugno plotis siekia 1,37 m. Rapsų skirtuvai yra pritvirtinti prie pjaunamosios šonų. Nuimant rapsus, jie pastumiami vertikalios padėties link. Ant vežimėlio pervežama uždėta pjaunamoji 40 km val.-1 greičiu. Posūkyje abiejų ašių ratai keičia padėtį, todėl yra mažas posūkio spindulys.
Svarbiausios visų pjaunamųjų dalys: pjovimo aparatas, sraigė, lenktuvai, skirtuvai ir hidraulinė sistema. Gaminamos pjaunamosios su lanksčiu dugnu sojoms, žirniams nuimti. Universaliose pjaunamosiose vietoje skardinio dugno įrengtas sekcinis juostinis transporteris, tačiau jos brangesnės, jų priežiūrai reikia skirti daugiau laiko. Mūsų šalies sąlygoms geriausiai tinka Vario pjaunamoji, nes tenka pjauti skirtingo aukščio javus ir rapsus. Kai nupjautų javų ar rapsų tik viršūnės liečia sraigės cilindrą, ji nepertraukiamai tiekia masę nuožulniajam transporteriui.
Daugumos kompanijų kombainuose yra Shumacher pjovimo aparatai, tačiau New Holland ir Claas kombainų gamintojai klasikinio pjovimo aparato nekeičia, nors pamažu tobulina pirštų konstrukciją ir jų tvirtinimo mechanizmą. Prieš nuimant rapsus, Claas Vario pjaunamosiose V930 ir V770 jau nereikės įdėti dugną platinančius skardos intarpus ir gaišti laiką keičiant pavaros diržo padėtį.
Mažiausias atstumas tarp 0,66 m skersmens sraigės cilindro ir pjovimo aparato yra 0,57 m, o dalgį nustūmus pirmyn - 1,17 m. Kartais žieminių rapsų aukštis siekia net 1,35 m. Palikus 0,25 m aukščio ražieną, pjaunamosios dugno (3) plotis bus dar pakankamas, kad nupjautų rapsų tik viršūnės liestų sraigės cilindrą. Dalgio stumdymo reduktoriaus (7) pavara mechaninė su apsaugine mova (5). Sraigės pavara išliko grandininė su sustiprinta apsaugine mova (8). Virš sraigės įrengtas skydas (2), kuris sumažina sraigės stumiamų trumpastiebių javų išdraikymą ir sukeliamų dulkių sklaidą.
Aktyvieji rapsų skyrikliai vežami prie pjaunamosios vežimėlio pritvirtintoje dėžėje. Juos tvirtinti prie pjaunamosios šonų daug paprasčiau. Skyriklio korpuso (1) padėtį fiksuoja du kaiščiai. Svirtelę (3) pasukus iš vertikalios į horizontalią padėtį, yra įveržiama plastikinė įvorė (2). Kitas fiksatorius įrengtas žemiau po išoriniu apsauginiu gaubtu. Kiekvieno skyriklio dalgiai mechanine pavara sujungti su hidrauliniu varikliu, o pastarasis žarnomis su hidrauliniu siurbliu. Alyvos slėgio ir grąžinamoji žarna atskirai tarpusavyje sujungtos movomis. Atjungus slėgio ir grąžinamąją žarnas, jų nereikia tarpusavyje sujungti. Siurblio tiekiama alyva pro apsauginįpraleidžiamąjį vožtuvą (7) grąžinama į bakelį. Nuėmus bakelio dangtelį (6), galima pakeisti alyvos filtrą. Jam užsiteršus alyva pro apsauginį-praleidžiamąjį vožtuvą grįžta į bakelį. Nuėmus dangtelį (5), patikrinamas alyvos lygis bakelyje, o jei reikia - įpilama.
Kombaino variklio užvedimo blokavimas nepriklauso nuo jungtuko (9) padėties. Pjaunamosios pjovimo aparatą galima pastumti pirmyn ar atgal, kai jungtuko (9) svirtelė yra pakreipta žemyn. Gabenant pjaunamąją, pjovimo aparatas turi būti arčiausiai sraigės, ir jungtuko svirtelė pakelta aukštyn.
Ruošiant kombainą žieminiams rapsams nuimti reikia:
- padidinti tarpą tarp pjaunamosios sraigės vijų ir dugno iki 20 mm, o tarp pirštų galų ir dugno nustatyti 2 mm mažesnį tarpą. Ražienos aukštis - > 0,25 m;
- sraigės viduryje, abiejose pirštų eilučių pusėse, būtina nuimti keičiamus sraigės vijų galus ir jų laikiklius;
- pjovimo aparatą nustumti pirmyn ir padidinti pjaunamosios dugno plotį tiek, kad tik rapsų viršūnės liestų sraigės cilindrą;
- lenktuvus pakelti aukštyn. Jeigu rapsai nesugulę, tik pirštų galai ties dalgio linija gali įsmigti tarp augalų arba visai neliesti rapsų;
- lenktuvų sukimosi dažnį suderinti su kombaino važiavimo greičiu taip, kad lenktuvų pirštai tik šiek tiek lenktų stačių rapsų stiebų viršūnes;
- jeigu nuėmimo sąlygos leidžia, važiuoti reikia kuo greičiau, kad skyriklių ir lenktuvų iškultos ir nulaužytos ankštaros dar spėtų nukristi ant pjaunamosios dugno.
Kūlimo aparatas
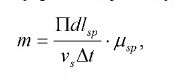
Svarbiausia kombaino dalis - kūlimo aparatas. Jį sudaro kūlimo būgnas ir pobūgnis. Prieš ir už kūlimo būgno esantys rotoriai-separatoriai tik šiek tiek kulia varpas, nes tarp jų ir pobūgnių yra kelis kartus didesni tarpai, palyginti su tarpu tarp kūlimo būgno spragilų ir pobūgnio skersinių juostų. Visų klavišinių kombainų į kūlimo aparatą tiekiamas javų srautas (kg s-1) labiausiai priklauso nuo būgno spragilų bendrojo ilgio, jų judėjimo greičio ir leistinosios spragilo ilgio metro apkrovos. Įvertinus kūlimo aparato parametrus, tiekiamas javų srautas į kūlimo aparatą apskaičiuojamas lygtimi:

d - būgno skersmuo, m; lsp - spragilo ilgis, m; vs - spragilo judėjimo greitis, m s-1; Δt - laikas tarp gretimų spragilo impulsų, s; sp μ - spragilo metro ilgio leistinoji apkrova, kg (s m)-1
Labai laidžių kombainų leistinoji spragilo metro ilgio apkrova yra apie 1,1 kg (s m)-1.
Gamybinėmis sąlygomis tyrimais nustatyta, kad esant įprastoms javų nuėmimo sąlygoms, leistinas maksimalus į kombaino su klavišiniais kratikliais kūlimo aparatą tiekiamas kviečių srautas 15-17, o miežių - 10-12 kg s-1.
Remiantis prof. T. Rademacherio (Vokietija) teiginiais, kūlimo aparato laidumą atspindi kūlimo proceso intensyvumo indeksas I, nes jis įvertina tarpo tarp būgno spragilų ir pobūgnio skersinių juostų bei jų skaičiaus įtaką kūlimo procesui:

n - kūlimo būgno sukimosi dažnis, min.-1; k - spragilų skaičius, vnt.; b - pobūgnio skersinių juostų skaičius, vnt.; a - tarpas tarp būgno ir pobūgnio, mm
Apskaičiavus nustatyta, kad didžiausias kūlimo intensyvumo indeksas buvo aparato su 0,75 m skersmens kūlimo būgnu. Tai atitiko ir pirmąja lygtimi apskaičiuotus rezultatus.
Kombainuose Laverda, Deutz Fahr atskirai galima keisti tarpą tarp būgno spragilų ir pobūgnio skersinių juostų pobūgnio pradžioje ir gale. Patyrusiam kombainininkui tai praverčia nuimant rapsus, ankštinius augalus arba nevienodai subrendusius javus. Kai kurių kombainų kompiuteriai nerodo realiojo tarpo tarp būgno spragilo ir gamintojo nurodytos pobūgnio skersinės juostos. Kombainininkas kompiuteryje mato tik pobūgnio padėties sutartinį numerį. Kombaino šeimininkas turėtų reikalauti, kad gamyklos atstovas pakeistų kompiuterio rodmenis.
Būgno sukimosi dažnis yra susietas su jo skersmeniu ir javų nuėmimo sąlygomis. Kviečių grūdams iškulti iš varpų pakanka 30 m s-1 greičiu judančių būgno spragilų impulsų (būgno skersmuo 0,6 m, sukimosi dažnis 950 min.-1). Kombainų Claas Lexion kūlimo būgnas sukamas lėčiau (26 m s-1), nes masės greitintuvo būgnas iš varpų iškulia apie 20 proc. grūdų ir į pagrindinį kūlimo aparatą tiekia plonesnį javų sluoksnį. Periodiškai stebint kabinoje pro bunkerio langą grūdų sužalojimo kitimą, galima nustatyti racionalų būgno sukimosi dažnį.
***
Nuimant javus kūlimo būgną reikia sukti kuo lėčiau, o tarpą tarp būgno ir pobūgnio galima keisti platesnėse ribose. Sutrupinti šiaudai - svarbiausia grūdų sužalojimo, nuostolių ir priemaišų grūduose priežastis.
Tęsinys kitame numeryje
